Dalam sebuah instalasi pemasangan pipa sering sekali terjadi kehilangan tekanan yang ditimbulkan oleh equipment seperti panjangnya pipa, Valve, elbow dan tee, Dalam industri, setiap sistem pipa mengandung elemen material yang berbeda seperti elbow, fitting, valve. Material tambahan ini dapat menambah kerugian sistem secara keseluruhan. Kerugian tersebut umumnya disebut kerugian kecil, meskipun mereka sering memperhitungkan sebagian besar dari kerugian tekanan. Untuk sistem pipa yang relatif pendek, dengan jumlah belokan dan fitting yang relatif besar, kerugian kecil dapat dengan mudah melebihi kerugian besar.
Kehilangan tekanan menunjukkan pengurangan total tekanan pada tekanan elevasi, tekanan pada kecepatan, pada fluida saat mengalir melalui sistem proses. Kehilangan tekanan juga terjadi oleh gesekan yang disebabkan oleh dinding pipa dan peralatan lainnya. Kehilangan tekanan tidak dapat dihindari dalam cairan yang bergerak. Karena gesekan antara partikel fluida yang berdekatan yang bergerak relatif satu sama lain (terutama dalam aliran turbulen).
Sebagian besar metode untuk mengevaluasi kehilangan tekanan akibat gesekan hampir secara eksklusif didasarkan pada bukti eksperimental. Ini akan dibahas dalam bagian berikut.
Klasifikasi kehilangan tekanan
Kehilangan tekanan dari suatu sistem pipa, tabung, atau saluran, sama dengan yang dihasilkan dalam pipa atau saluran lurus yang panjangnya sama dengan pipa-pipa dari sistem aslinya ditambah jumlah panjang ekivalen dari semua komponen dalam sistem.
![]()
Seperti dapat dilihat, kerugian tekanan pada sistem perpipaan dibagi menjadi dua kategori utama, “kerugian besar” yang terkait dengan kehilangan energi per panjang pipa, dan “kerugian kecil” yang terkait dengan tikungan, fitting, katup, dll.
Kehilangan tekanan besar – karena gesekan pada pipa dan saluran.
Kehilangan tekanan kecil – karena komponen seperti valve, fitting, bends, dan tee.
Kehilangan tekanan dapat dinyatakan sebagai:
hloss = Σ hmajor_losses + Σ hminor_losses
Mengapa kehilangan tekanan sangat penting?
Diagram karakteristik Q-H pompa sentrifugal dan pipa
Diagram karakteristik Q-H pompa sentrifugal dan pipa

Seperti yang dapat dilihat dari gambar, head loss merupakan karakteristik utama dari setiap sistem hidrolik. Dalam sistem di mana beberapa laju aliran tertentu harus dipertahankan (misalnya, untuk menyediakan pendinginan yang cukup atau perpindahan panas dari teras reaktor), keseimbangan kehilangan head dan head yang ditambahkan oleh pompa menentukan laju aliran melalui sistem.
Bentuk kehilangan tekanan
Mengevaluasi persamaan Darcy-Weisbach memberikan wawasan tentang faktor-faktor yang mempengaruhi kerugian tekanan dalam pipa. Pertimbangkan bahwa panjang pipa atau saluran digandakan, kerugian tekanan akibat gesekan yang dihasilkan akan berlipat ganda.
Pada laju aliran konstan dan panjang pipa, kerugian tekanan berbanding terbalik dengan pangkat 4 diameter (untuk aliran laminar). Dengan demikian, mengurangi diameter pipa hingga setengahnya meningkatkan kehilangan head dengan faktor 16. Ini adalah peningkatan yang signifikan dalam kehilangan tekanan dan menunjukkan mengapa pipa berdiameter lebih besar menyebabkan kebutuhan daya pemompaan yang jauh lebih kecil.
Karena hilangnya tekanan kira-kira sebanding dengan kuadrat laju aliran, maka jika laju aliran digandakan, head loss meningkat dengan faktor empat. Kehilangan tekanan berkurang setengahnya (untuk aliran laminar) ketika viskositas fluida berkurang setengahnya.
Kecuali faktor gesekan Darcy, masing-masing istilah ini (kecepatan aliran, diameter hidrolik, panjang pipa) dapat dengan mudah diukur. Faktor gesekan Darcy memperhitungkan sifat fluida dari densitas dan viskositas, bersama dengan kekasaran pipa. Faktor ini dapat dievaluasi dengan menggunakan berbagai hubungan empiris atau dibaca dari grafik yang diterbitkan (misalnya, grafik Moody).
Gesekan Hilang (friction loss)
Untuk menghitung Gesekan Hilang (friction loss) Anda harus terlebih dahulu mengetahui seberapa besar Aliran (flow) yang Anda inginkan. Setiap Aliran (flow rate) akan memiliki Gesekan Hilang (friction loss) yang berbeda. Setelah mengetahui Aliran (flow), Anda perlu mengetahui jenis pipa apa yang Anda gunakan, Ketebalan pipa, dan panjang pipa, baik secara vertikal maupun horisontal. Anda juga perlu mengetaui berapa banyak sambungan siku (elbows), katup (valves), sambungan-sambungan (connections), dan apa pun yang bersentuhan dengan air.
Dengan menggunakan contoh di atas, marilah kita asumsikan bahwa pipa yang digunakan adalah PVC, ketebalan 40, dan ukuran 1,5 inchi. Pipa memiliki jarak horisontal 120 feet, dan dinaikan 21 feet secara vertikal. Ada 2 sambungan siku (elbows) 90 derajat dan 2 katup (gate valve).
Langkah 1: Hitunglah total panjang pipa.
- 120 + 21 = 151
Langkah 2: Carilah panjang pipa setara untuk sambungan siku (elbows) dan katup (gate valve).
- Sambungan siku (elbows) memiliki nilai setara 7 feet. 2 siku (elbows) = 14 feet.
- Sebuah katup (gate valve) memiliki nilai setara 5 feet. 2 katup (gate valve) = 10 feet.
- Total panjang = 24 feet.
Langkah 3: Jumlahkan panjang pipa dengan panjang sambungan siku (elbows), katup (valves), sambungan-sambungan (connections).
- 151 + 24 = 175
Langkah 4: Bagilah jumlah langkah 3 dengan 100.
- 175/100 = 1,75
Langkah 5: Carilah Gesekan Hilang (friction loss) per 100 feet dari pipa 1,5 inchi.
- Jawabannya adalah 2,83 feet per 100 feet.
Langkah 6: Kalikanlah hasil dari langkah 4 dengan angka Gesekan Hilang (friction loss) pada langkah 5.
- 1,75 X 2,83 = 4,95
Hasil Perhitungan:
Beda Tinggi (vertical rise) dalam contoh diatas adalah 21 feet. Gesekan Hilang (friction loss) untuk 20GPM adalah 4,95 feet. Dengan menambahkan keduanya, Maka “Total Head” adalah 25,95 feet. Bagaimana jika level air di dalam tangki tidak pernah turun di bawah 5 feet dan pengguna masih memerlukan 20GPM? Jika tangki pernah kosong hingga lebih dari 5 feet, maka jarak vertikal antara air di Tanki A dan bagian atas Tanki B adalah 15 feet. 15 feet jarak vertikal + 4,95 feet Gesekan Hilang (friction loss) = 19,95 feet dari “Total Head”.
Bagaimana jika “flow rate” adalah 30GPM dan tangki dikosongkan. Anda sekarang harus memperhitungkan kenaikan vertikal sebesar 21 feet. Gesekan Hilang (friction loss) per 100 feet untuk 30GPM melalui pipa 1,5 inchi adalah 6 feet.Jadi, 1,75 (panjang pipa dan ekuivalennya tetap sama) X 6 feet = 10,5 feet Gesekan Hilang (friction loss). 10,5 feet Gesekan Hilang (friction loss) ditambah 21 feet Beda Tinggi (vertical rise) adalah 31,5 feet “Total Head”.
- Catatan khusus:
- Berat jenis air dapat sedikit merubah Gesekan Hilang (friction loss)
- Jika berat jenisnya antara 1,0 dan 2,0 (air= 1,0), Anda tidak perlu untuk menggunakan informasi tersebut dalam kalkulasi Anda.
- Jika kurang dari 1,0 atau lebih dari 2,0, disarankan untuk menggunakan bantuan kalkulator online.
- Viskositas di sisi lain dapat meningkatkan Gesekan Hilang (friction loss). Jika cairan cukup kental, tentukan viskositas dengan baik menggunakan tabel atau kalkulator online.
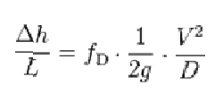
Persamaan yang paling umum digunakan untuk menghitung kerugian head utama dalam tabung atau saluran adalah persamaan Darcy-Weisbach (bentuk head loss).
di mana:

Δh = head loss akibat gesekan (m)
fD = faktor gesekan Darcy (tanpa unit)
L = panjang pipa (m)
D = diameter hidrolik pipa D (m)
g = konstanta gravitasi (m/s2)
V = kecepatan aliran rata-rata V (m/s)
Terdapat juga beberapa kalkulator online yang dapat membantu Anda mendapatkan perhitungan yang Anda butuhkan.



